点击上面微信号关注我

关注我哟定期推送帐号信息学新闻,竞赛自主招生,信息学专业知识,信息学疑难解答,信息学训练营信息等诸多优质内容的微信平台,欢迎分享文章给你的朋友或者朋友圈!有任何问题请联系小编!

01
CSP第一轮成绩陆续公布
CSP第一轮成绩陆续发布,今天我们为大家带来天津市,宁夏,内蒙古三省成绩及晋级规则。
CSP-J/S2019北京第一轮成绩及第二轮晋级规则
CSP-J/S2019 江西 陕西第一轮成绩及第二轮晋级规则
CSP-J/S2019浙江第一轮成绩
天津
以下为CSP-S1/J1考生成绩及是否进入第二轮情况。点击查看大图更清晰!

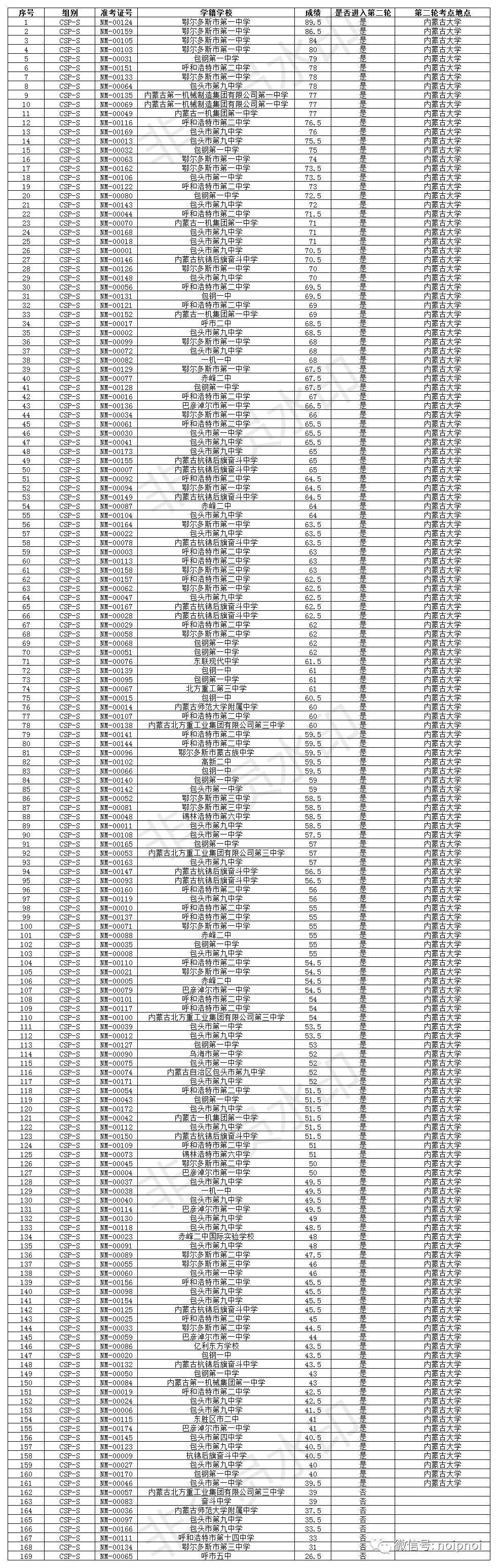
内蒙古
CCF非专业级别软件能力认证(CSP-J/S 2019)第一轮认证于2019年10月19日举行,现公布本省(市)认证者成绩、第二轮认证晋级规则和名单,详见附件。
请认证者对照个人准考证号、仔细查看晋级第二轮的名单,确定入围后,再进行报名和交费。
第二轮晋级规则:
条件一:正常参加了第一轮CSP-J/S认证。
条件二:第一轮认证分数达到内蒙古认证分数线即可参加第二轮CSP-J/S认证
第二轮认证报名请见NOI网站首页动态新闻。
联系人:高翔,15754839984
内蒙古自治区计算机学会
2019年10月25日
CSP-S组成绩

CSP-J组成绩

宁夏
CCF非专业级别软件能力认证(CSP-J/S 2019)第一轮认证于2019年10月19日举行,现公布宁夏省认证者成绩及第二轮认证晋级规则和名单,详见附件。
请认证者对照个人准考证号、仔细查看晋级第二轮的名单,确定入围后,再按照CSP-S/J2019认证流程的日期安排,进行报名和交费。
第二轮晋级规则:
条件一:正常参加了第一轮认证且达到分数线的认证者。
条件二:满足条件一的考生总人数在第二轮考点所能容纳的最大人数以内。
第二轮认证报名请见NOI网站首页动态新闻。
按照CSP-S/J2019认证流程,请考生于2019年11月12日——17日在此查看宁夏省CSP-J/S 2019第二轮的考点安排。
联系邮箱:690209660@qq.com
联系人:刘老师、杨老师
联系电话:18009516776、15809661616
宁夏省青少年信息学(计算机)奥林匹克竞赛委员会
2019年10月25日

往期精选内容
(点击标题即可查看)
CCF关于CSP-J/S2019第二轮认证报名的通知
第五届全国青少年创意编程与智能设计大赛获奖名单公示
CSP-J/S认证第一轮初赛S、J组答案
逾10万人参加首次CSP-J/S认证,附CSP-S/J组初赛试题及参考答案
NOI2019笔试题 在线版刷题题库发布!
CSP-J/S 各省负责人联系方式!
CSP-J/S2019认证须知
NOIP2015-2018普及组&提高组初赛试题答案&解析
CCF NOI教材-提高篇面世啦!
CCF发布NOI2020省队选拔规定
学好信竞-浅谈信息学竞赛考场策略及程序测试
CCF推出CSP非专业级别的能力认证,分入门级和提高级!
详细盘点清华姚班 智班,北大 浙大图灵班等多所高校AI专业实力!
大牛云集!清华大学2019年姚班及智班第一届AI本科生名单公布!
清北学堂C++入门公益课视频已上传!
清华北大2019自主招生入选资格考生名单公布
清华大学计算机姚班、人工智能学堂班(智班)选拔方案出炉!
NOI2019获奖规则公布,前50名选手将自动入选国家集训队!
NOI2019仍有高校现场签约 现场招生规则发布(附各省队名单)!
2019年NOI省队选拔规定及NOI2019名额分配方案发布!
2019年全国69所高校保送生拟录取名单公布,清华北大共349人!
CTS2019 获奖名单分析-信息学强省强校排行榜!
APIO2019中国区获奖名单公布,学军中学 杭州二中等表现出色
五大学科竞赛国家队23人大名单出炉(各省,中学分布统计)
IOI2019(国际信息学奥林匹克)中国队名单出炉
最详细解析低分进名校三大途径:自主招生、综合评价、高校专项计划!
2019年保送生资格名单公示
再见,OI-大牛HZW亲笔,分享OI生涯记录,不变的是坚持和热爱!
NOIP复赛知识点简述及复赛算法总结!
重磅!NOIP2初018赛普及组提高组真题及答案发布NOIP2018提高组试题解析根据信息学竞赛之路带你了解信息学竞赛流程
全国自主招生高校对各项学科竞赛奖项要求大汇总!签约路径
教育部出台高中新课标,信息学竞赛相关内容被编入必修课程!从搜狗CEO王小川(信息学金牌),看这二十几年中国奥赛金牌的去向揭晓高薪专业排行榜,计算机专业薪资最高!哪些专业最具潜力?一个清华保送生妈妈对竞赛的感受,自主招生家长都要看看!
计算机科学与技术专业全国大学排行榜!为什么这些孩子初中就能被清华北大签约
(1)为什么有“编程思维”和数学能力强的人更优秀?(2)清北独家录制NOIP成功者说学习视频!!!
(3)我们为什么要对孩子进行编程教育?
(4)信息学竞赛答家长问题
1.信息学竞赛,你想了解的知识都在这里
2.信息学奥赛(NOIP)初赛学习方法推荐
3.信息学奥赛(NOIP)复赛学习方法推荐
4.大牛为你推荐十本最适合信息学竞赛的书籍
5.信息学奥赛有那么重要吗?
6.参加编程竞赛对实际工作的用处
7.清北学堂独家录制NOIP考试技巧讲座
8.在线编程挑战赛第一名:我是这么学算法的
9.信息学竞赛如何学习及准备攻略!
10.凭什么我得了信息学奥赛国家一等奖
11.榜样 | 北大降200分要这个诸暨天才少年
12.OI金牌教练胡芳:爱和成长的故事
13.信息学竞赛,一个让孩子不需要再去挤独木桥的方向
14.新学期必须了解的学科竞赛与自主招生时间!
15.北大录取生陈代超:在信息学中找到“思维图谱”
16.国务院发文支持编程教育进入中小学,中国人工智能厚积薄发
(1)NOIP报名,申诉,查成绩方式介绍
(2)NOIP复赛考前需要注意的那些事儿!!!
(3)NOIP测评环境,数据提交你都了解吗?请注意这些问题!
(4)关于NOI系列赛编程语言使用限制的规定
关注「信息学竞赛」
看更多信息学趣闻与知识
↓↓↓